9所本科校考成绩全部出炉!有人捡漏本科?不出意外的话,明天将诞生第一批被录取的人!
9所本科校考成绩全部出炉!测试成绩合格并不代表就会录取。如果合格的同学将会根据综合成绩从高到底录取,技能测试合格是本科录取的条件之一,如果不合格将不会被本科录取。
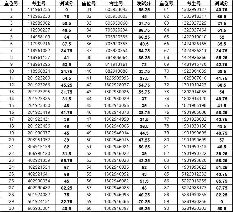
韶关学院参加测试考生有90人,其中技能测试合格线为43.25分(满分100分),合格人数为54人,校考通过率60%。招生30人,按照综合成绩择优录取。

韶关学院2024年“3+证书”考试本科层次招收护理学专业职业技能测试成绩、合格线公示
我校2024年“3+证书”考试本科层次招收护理学专业职业技能测试工作已结束。根据广东省招生委员会办公室相关要求,经讨论决定,公布参加我校职业技能测试考生成绩(附表),并将我校职业技能测试的合格线及合格考生人数公示如下:
1、职业技能测试合格线为43.25分(满分100分);
2、测试合格线以上的考生共54人。
公示期从2024年3月23日起至2024年3月25日止。
公示期间联系方式:0751-8120066。
韶关学院招生与就业指导中心
2024年3月23日
附表:韶关学院2024年“3+证书”考试本科层次招收护理学专业职业技能测试成绩表
环境设计专业报名人数122人,通过111人。通过率为90.98%!
车辆工程专业报名人数265人,通过144人;通过率54.33%!

广东技术师范大学关于2024年“3+证书”职业技能测试成绩公示的通知
各位考生:
根据《关于做好广东省2024年普通高校招收中等职业学校毕业生统一考试招生工作的通知》(粤招普〔2023〕40号)等相关文件精神,现将我校2024年“3+证书”职业技能测试成绩进行公示,详见《2024年“3+证书”环境设计专业职业技能测试成绩》(表1)和《2024年“3+证书”车辆工程专业职业技能测试成绩》(表2)。公示时间为3月23日至3月26日中午12:00。
考生如对公示成绩有疑问,请在公示期内以书面形式向我校招生就业办公室申请复查,申请复查所需资料:考生书面申请一份,个人身份证正反面复印件一份,申请复查项目。考生须用真实姓名,不得恶意中伤和诽谤,凡以匿名反映的一律不予受理。
汽车服务工程、机器人工程、电子信息工程、服装设计与工程、视觉传达设计专业职业技能测试满分:100分,合格分:60分。
根据《嘉应学院2024年招收中等职业学校毕业生“3+证书”考试招生录取工作方案》,经研究决定,我校2024年“3+证书”护理学专业职业技能测试合格线为60分。
参加考核共有203人,其中只有45人分数高于60分!校考通过率22.1%!
岭南师范学院本科校考成绩查询网址:http://zsb.lingnan.edu.cn/xxcx/zzshengbenzyjncscj.htm。
计算机科学与技术、人工智能、机械设计制造及其自动化、产品设计、机器人工程等专业职业技能测试合格线为60分(满分100分)。
值得注意的是计算机科学与技术专业招生50人,合格名单只有45人,也就是说,只要通过合格名单,基本上就是稳录了!妥妥捡漏本科了!

复制链接查看成绩:https://jwc.hstc.edu.cn/info/1025/2382.htm
大数据工程技术、机械设计制造及其自动化、新能源汽车工程技术、健康管理专业职业技能测试合格线为60分(满分100分)。

根据此前的录取工作日程,3+证书是3月27-30日录取。目前本科已经全部校考结束,不出意外的话,本科最快明天上午(27日)就开始录取了,专科则是明天下午开始模拟志愿,在3月27日-30日开始录取,预计30号出结果。

从表中,可以看到
2024年3+证书录取分为本科和专科两批次进行。
先录取本科再到专科,我们从时间开始看,
先录取本科 → 专科 → 征集志愿(补录) → 录取结束
3月23-24日:
“3+证书”本科批次院校组织职业技能考核,具体安排见相关院校招生网站(所有院校已经结束校测)
3月26日前:
“3+证书”本科批次院校上报职业技能考核结果(所有院校已经公布!)
3月27日:
27日上午“3+证书”本科批次院校志愿投档、院校阅档、录检结束;
27日下午,“3+证书”专科批次模拟投档。
本科录取预计27号可查!
可到学校网站查询录取结果!
3月28日:
28 日下午,省招生办公室投“依学考录取”普通类、艺体类及“3+证书”专科批次考生档案
3月29日:
29日,高职院校阅“依学考录取”、“3+证书”专科批次投档考生档案;
3月30日:
3月30日,录检结束
根据往年情况,专科开始录取后各院校会陆续公布最低投档分,预计3月30日考试院会集中公布第一次投档结果,也就是录取结果。
3月31日-4月1日:
征集志愿录取
可参加考生:没录取,退档的同学及征集志愿线以上的同学。
注:公布补录最低投档分数线(已录取的学生不能参加)。
若有相关问题,可以添加老师咨询~致尚升本zssbjy.com聚焦于成人学历提升培训(高职高考、专插本、高考复读等),秉承“做好课程做好老师、做好服务”的价值主张,通过科学的管理、雄厚的师资力量、别具一格的教学特色,先后帮助了一批又一批学子圆梦大学。
